Lasso クロス バリデーション

Effect Of Data Size N On The Averaged Cross Validation Rmse Of Lasso Download Scientific Diagram

Stabilizing The Lasso Against Cross Validation Variability Sciencedirect
Plos One Improving Stability Of Prediction Models Based On Correlated Omics Data By Using Network Approaches


3 6 10 6 Use The Ridgecv And Lassocv To Set The Regularization Parameter Scipy Lecture Notes

7月14日 データ解析入門 第10回 3 5 スパース性と圧縮センシング Youtube

Characteristics And Associated Factors Of Physical Activity Related Injuries Among University Students In Southern China Scientific Reports

交差検証 Miidas Research
1

Beware Of External Validation A Comparative Study Of Several Validation Techniques Used In Qsar Modelling Bentham Science

Lasso For Prediction And Model Selection New In Stata 16
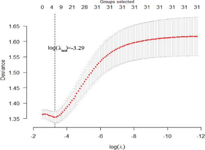
The Optimal Lambda For Lasso By Applying Cross Validation Plot Download Scientific Diagram
Belum ada Komentar untuk "Lasso クロス バリデーション"
Posting Komentar